Nastavitve piškotkov
Športna prehrana
Body Building
in fitnes
Raziskave in
članki
Blogi

Pogosta iskanja

proteini aminokisline diete body building fitnes mišice mišična masa creatin vitamini
Resveratrol namesto zimskih pnevmatik ( Mišelinke okoli pasa )
resveratrol
Večina ljudi pridobi na teži v zimskem času. Morda zato, ker se njihov metabolizem upočasni, morda zato, ker manj vadijo. Francoska raziskava, opravljena na živalih z isto težavo, kaže, da lahko Resveratrol kot dodatek pomaga.



Siva miš lemur pridobiva težo brez težav v zimskem času. Ker obstaja veliko študij o Resveratrol-u kot zaviralcu »debeljenja«, so se raziskovalci v Museum National d'Histoire Naturelle v Parizu odločil za študijo, ali Resveratrol resnično »zaščiti« te živali pred pridobivanjem teže.


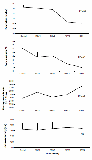
Raziskovalci so šestim sivim mišim lemur dajali 200 mg resveratrola na kg telesne mase na dan 4 tedne. Poskus je potekal v zimskem času, tako da so živali že začele pridobivati na teži. V tednu pred začetkom uporabe Resveratrola so bile že 6,2 odstotka težje.

V nadaljevanju študije so imele miši višjo mirovno porabo energije in zaužile manj hrane. Ob koncu 4 tednov se je pridobitek teže v primerjavi z izhodiščem zmanjšal za 5 % na 1 %.

resveratrolmetab






























Lemurji so nočne živali, ki gredo spat, ko sonce vzhaja in se zbudijo spet okoli štirih popoldne.
Raziskovalci so odkrili, da je Resveratrol učinkoval med počitkom. Resveratrol je povzročil dvig telesne temperature ko so lemurji spali.

resveratrolmetab2























Več časa so miši uživale Resveratrol, močnejši učinek je imel na telesno temperaturo.


Ta učinek je lahko tudi stranski učinek Resveratrol-a, to je da uporabniki včasih težje zaspijo in slabše spijo. Prav tako spijo bolj nežno in se zbudijo prej - čeprav se ne počutijo dobro spočiti. To lahko se zgodi, ker je eden od predpogojev za dober nočni spanec to, da se vaš metabolizem upočasni. Rahla nespečnost ( pri nekaterih, ne vseh ) pomeni, da Resveratrol deluje.

Dobite ga, tako kot vse PEAK izdelke v spletni trgovini
www.profitnes.si




Ključne besede: resveratrol  PEAK